Часть 1
Александр Найденко, Евгений Карпов
Все, что тут написано, не претендует на новизну или откровение свыше, тем более на истину.
Сделана еще одна попытка улучшить воспроизведение низких частот с применением недорогих динамических головок и как-то упорядочить выбор и расчет параметров для этого.
Недорогие низкочастотные динамические головки прямого излучения (далее - "динамики", с Вашего позволения) как правило, имеют довольно высокие резонансную частоту и добротность, что приносит, как известно, две неприятности:
- во-первых, импульсный отклик носит колебательный характер, и это окрашивает звук в хорошо слышимой частотной области (около резонанса акустической системы), проще говоря - пресловутое "бубнение";
- во-вторых, значительное ослабление передачи самых низких частот.
Эти две проблемы имеют, в основном, (не считая слабого магнита) один корень - большая упругость подвеса диффузора, а при помещении динамика в "ящик" добавляется еще упругость воздуха в последнем.
В качестве примера возьмем "очень средненький" низкочастотный динамик 35ГДН102; наш экземпляр с омическим сопротивлением катушки Re=3.55 Ohm после 200-т часов тренировки (что снизило упругость где-то на 30%) показал в свободном пространстве следующие параметры - эквивалентный объем Vas=47л, частоту основного резонанса Fs=34 Hz, механическую добротность Qms=5.1, электрическую Qes=0.85 и общую Qts=0.73.
Если поместить его в закрытый ящик, то его резонансную частоту и все добротности надо умножить на значение выражения -

где Vc - объем ящика.
Например, используя приемлемый по размерам для жилой комнаты корпус с внутренним объемом 60л, для закрытой акустической системы получим следующие параметры: Fс=45.4, Qmс=6.8, Qeс=1.135 и Qtс=0.975 (заметьте, это при нулевом выходном сопротивлении усилителя, при ненулевом положительном сопротивлении электрическая и общая добротности будут еще больше).

На рис.1 показаны полученные на модели АЧХ SPL (уровня звукового давления) динамика в бесконечном экране (прерывистая) и в закрытом ящике (сплошная), приведенные к уровню 0дБ на условно-средней (для этого динамика) частоте 300 Гц, т.е. где его импеданс практически равен омическому сопротивлению катушки Re.
Бытует мнение, что для наилучшей АЧХ оптимальная общая добротность системы Qt=0.7, этот динамик на "щите" (а равно и в открытом корпусе, если не учитывать искажений дифракции) и показал "гладкую" АЧХ.
Однако бесколебательный отклик возможен при общей добротности системы Qt<=0.5 , так что хотя и АЧХ при Qt=0.7 не имеет выпуклости, отклик все же "подкрашивается". Впрочем, дело вкуса, кому нравится "бумкание", выбирайте добротность сами.
Для улучшения воспроизведения низких частот нам кажется разумным использовать две меры:
- для снижения добротности применить электрическое демпфирование путем введения отрицательного выходного сопротивления усилителя;
- для исправления АЧХ на самых низких частотах применить частотную коррекцию линейного сигнала, приходящего на вход усилителя.
Комментарии
Электрическое
Электрическое демпфирование.
Для строгости формулировок изобразим известную структуру усилителя, охваченного обратными связями по току и напряжению (рис.2),
где UIN - напряжение на входе усилителя;
UOUT - напряжение на выходе усилителя;
UL - напряжение на нагрузке (динамике);
IL - ток нагрузки;
R0 - внутреннее выходное сопротивление усилителя;
ZL - импеданс нагрузки;
k0 - коэффициент усиления усилителя;
kU - коэффициент обратной связи по напряжению;
ki - коэффициент обратной связи по току нагрузки;
Ri - сопротивление датчика тока.
Обратная связь по напряжению, разумеется, отрицательная, по току - положительная.
Тогда выражение для напряжения на нагрузке примет вид:
Выражение в скобках есть выходное сопротивление усилителя "с точки зрения" динамика. Если ООС по напряжению отсутствует, то kU и все слагаемые, его содержащие, равны нулю.
Чтобы наши рассуждения не зависели от наличия или отсутствия ООС по напряжению, обозначим
тогда
а выходное сопротивление усилителя и коэффициент обратной связи по току нагрузки определяются выражениями:
Для того, чтобы определить требуемое Rg, надо задаться общей добротностью системы колонка-усилитель и рассчитать нужную для этого электрическую добротность (механическая уж какая получилась).
Причем вид формул не зависит от акустического оформления, только оперировать надо соответствующими величинами, т.е. для закрытого ящика Qmc, Qec, Qtc, для "голого" динамика Qms, Qes, Qts, etc.
Поэтому, для общности, мы упростим индексы: Qm, Qe и Qt - соответственно механическая, электрическая и общая добротности независимо от типа акустического оформления.
Задавшись желаемой общей добротностью Qtg, вычисляем требуемые Qeg и Rg:
Для нашего "красавца" в том же ящике зададимся Qtg=0.5, тогда получится Qeg=0.54 и Rg = - 1.86.
Надобно сказать - получилось довольно много. Вообще не желательно увлекаться слишком большим отрицательным сопротивлением усилителя:
- во-первых, не следует забывать, что из всякой ерунды конфетка не получится,
- во-вторых, могут появиться проблемы с устойчивостью,
- в-третьих, возникнет вопрос дрейфа параметров из-за нагрева звуковой катушки динамика, но об этом позже.
Сейчас посмотрим, что покажет модель. На рис.3 те же динамик и ящик, прерывистая линия при Rg = 0, сплошная при Rg = - 1.86. Характерно плавное снижение уровня от средних частот вниз, на первый взгляд, вроде бы стало хуже. Хм-м, если взять дорогой именитый woofer с малой добротностью и мягким подвесом, качественно картина будет такая же "скругленная" без нашего демпфирования - это физика. Резонансная частота у него, правда, будет пониже, но и чтобы реализоваться, он потребует ящик не квартирного размера.
Кроме того, вырастает общий
Кроме того, вырастает общий коэффициент передачи системы усилитель-динамик. Напряжение на нагрузке в общем случае имеет вид:
а на условно-средней частоте
Как видите, в нашем примере коэффициент передачи получился больше в 2.1 раза (6.4db), и поскольку речь идет о низкочастотном звене, то это надо учесть при дележке сигнала (читай - расфильтровке по НЧ-СЧ-ВЧ каналам). Например, если есть возможность - изменить kA, и не забыть, что это потащит за собой изменение ki.
Такой прием можно применить и к широкополосной системе, только действие токовой связи надо ограничить по частоте, сделав величину ki частотно-зависимой. Для этого ki надо заменить на следующее выражение:
где TL - постоянная времени, определяющая верхнюю частоту действия токовой связи.
Величину TL целесообразно
Величину TL целесообразно выбирать так, что бы эта частота среза находилась существенно выше частоты резонанса динамика, где уже ZL?Re (с точки зрение устойчивости усилителя целесообразно это делать всегда, выбрав в НЧ-звене величину TL, соответствующую частоте лежащей несколько выше частоты раздела НЧ-СЧ, дабы не влияло на качество расфильтровки).
В этом случае выражение для напряжения на нагрузке примет вид:
и коэффициент передачи системы, как видите, вырастет только в низкочастотной области.
Чтобы выравнять общую АЧХ, перед усилителем надо вместо НЧ-фильтра применить фильтр с передаточной функцией вида:
Коррекция линейного сигнала.
Для коррекции низкочастотной части АЧХ системы можно применить корректор "Linkwitz Transform", тем более что автор любезно предоставил апплет его расчета.
Но внимание: исходными данными для него на листе box является резонансная частота Fs и общая добротность Qts "свободного" динамика, а объем закрытого ящика называется Vb, и если в литрах, то со знаком минус. Поэтому новое значение, полученное в результате демпфирования Qts с учетом Rg надо вычислить по формулам:
В нашем случае получается Qe=0.4, Qts= 0.37, ну и задемпфировали.
Апплет сам подсчитает Fc, Qtc и занесет на первый лист под названием f(0) и Q(0). Далее, надо задать "фиктивную" резонансную частоту f(p) и добротность Q(p) "трансформированной" системы, и он подсчитает номиналы элементов фильтра.
Если выбрать добротность Q(p) > 0.5, то система опять приобретет колебательность, которую уже внесет сам фильтр, но это - дело вкуса. По этому поводу Harris сказал примерно следующее:
"Некоторым слушателям при низкой добротности системы звук представляется "жиденьким" и они предпочитают большие значения, такое как 1.0 или даже больше".
Частотой f(p) увлекаться тоже не следует, т.к. чем ниже мы ее зададим, тем больший подъем АЧХ даст фильтр на частотах ниже резонанса, что апплет сразу показывает на графике. Это в свою очередь, потребует дополнительный запас мощности усилителя и увеличит экскурсии диффузора со всеми вытекающими последствиями, так что надо реально оценить их возможности.
На рис.4 для нашего примера
На рис.4 для нашего примера прерывистой линией показана АЧХ системы без коррекции, сплошной - с "Linkwitz Transform" при Q(0)=Q(p)=0.5 и f(p)=26 Гц.
По уровню –3 дБ частота понизилась с 68 Гц до 47 Гц, не Бог весть что, но все-таки. При том на частоте 20 Гц фильтр поднимет относительный уровень гдето на 7 дБ.
Прочитав у Линквица фразу (перевод немного вольный): "Показанная частотная характеристика корректора позволяет для низкочастотного динамика с АЧХ, имеющей пик (Qp = 1.21), и высокую частоту среза (Fp = 55 Гц) получить АЧХ, спадающую по уровню - 6 дБ на частоте 19 Гц и с добротностью Q=0.5» и взглянув на подкрепляющие это графики, читатель вправе спросить, а зачем эти "измы" с отрицательным сопротивлением, когда "Linkwitz Transform" вот - снижает добротность, сколько пожелаете".
Надо правильно это понимать - достигается форма частотных характеристик как у низко добротной системы. "Linkwitz Transform" только изменяет ход характеристик, а свободное движение механической системы динамика (характеристическое уравнение, voulez vous) остается прежним. Мы же, вводя электрическое демпфирование, «подбираемся поближе» к этой системе, искусственно уменьшив сопротивление (Re+Rg) на пути к ней, посему лучше контролируем движение звуковой катушки, в чем принципиальная разница.
В фильтре Линквица используется операционный усилитель, с одной стороны - это существенно упрощает его техническую реализацию, но с другой стороны – требует использования высококачественного усилителя и вызывает технические трудности при реализации фильтра в ламповыхсхемах.
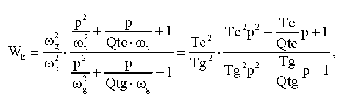
Получить желаемые частотные характеристики системы можно, используя корректор с передаточной функцией вида:
где
?c, Qtc - круговая резонансная частота и добротность исходной системы,
?g, Qtg - желаемые круговая резонансная частота и добротность откорректированной системы.
Реализация такого корректора возможна на усилителе с ограниченным коэффициентом усиления и с применением RLC элементов, но об этом в другой раз.
Для низко добротных систем (Qtc <= 0.5 и Qtg <=0.5 ) передаточная функция корректора упрощается и имеет следующий вид:
где
Такой корректор реализуется с использованием всего лишь двух RC звеньев и буферного усилителя, как показано на рис. 5.
Его передаточная функция имеет следующий вид:
Буферный усилитель, во-первых, осуществляет развязку между звеньями, а во-вторых, нужен для получения единичного коэффициента передачи корректора в области средних и высших частот, и его коэффициент передачи определяется из следующего соотношения -
Впрочем, последнее не обязательно, можно использовать этот буферный усилитель и в других "корыстных целях", в частности, для получения нужного коэффициента передачи данного канала.
Совсем частный случай, когда обе добротности Qtc = Qtg = 0.5. Тогда T2 T1 = и T4 T3 = , что приводит к упрощению корректора - RC звенья можно сделать одинаковыми.
Заключение.
Совместное использование электрического демпфирования динамика и частотных предискажений в усилителе, как мы считаем, позволяет улучшить воспроизведение низких частот при использовании динамиков среднего качества. В этой части статьи мы попытались показать это теоретически.
Вторая часть статьи будет посвящена некоторым вопросам технической реализации этогоподхода и анализу результатов его использования в реальной системе.